![]() |
| (Foto: Gilvan de Souza/Flamengo) |
Fonte Globo Esporte:
Mas o que causa essa diferença de quase R$ 2 milhões e que deu ao clube da Gávea apenas 37,3% da renda bruta? Fomos atrás das respostas para explicar os gastos e iremos “traduzir” os termos presentes no boletim financeiro do jogo, que pode ser encontrado no site da CBF.
A reportagem foi tirar dúvidas com o diretor de novos negócios do Flamengo, Marcelo Frazão. Segundo ele, para ter um ponto de equilíbrio financeiro, o clube só manda jogos no Maracanã em que espera no mínimo um público entre 30 e 35 mil pagantes.
- Essa conta (quantos pagantes no estádio para não ter prejuízo) não é tão simples . É muito mais relacionado a quanto de renda terá. Nesse nível de negociação do Maracanã, vai ter um ponto de equilíbrio de 30, 35 mil pagantes. Mais perto de 30, do que de 35 mil pagantes, mas depende de quanto a gente vai cobrar no jogo. É difícil cravar um valor. A maneira que o Flamengo tem essa negociação pontual com o Maracanã, acredito que de 30 a 35 mil pagantes.
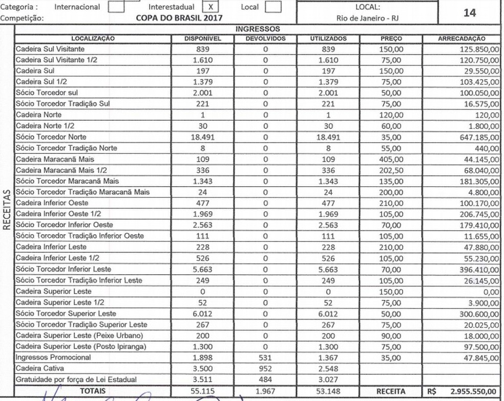
/i.s3.glbimg.com/v1/AUTH_bc8228b6673f488aa253bbcb03c80ec5/internal_photos/bs/2017/Q/k/IhieVAQIau5AXBqWOhyA/bordero-1.jpg)
Receitas de Flamengo x Botafogo totalizaram quase R$ 3 mi (Foto: Reprodução)
/i.s3.glbimg.com/v1/AUTH_bc8228b6673f488aa253bbcb03c80ec5/internal_photos/bs/2017/C/b/7gBmQwTVAFe7OVDdaxvg/bordero-2.jpg)
Despesas e retenções para o clássico carioca tirou quase R$ 2 mi do Flamengo (Foto: Reprodução)
Confira abaixo os pontos principais da entrevista e também o esclarecimento de alguns itens descritos como despesa no borderô da partida.
1 – TAXA FERJ: R$ 145.385,25
É o valor que a Federação de Futebol do Estado do Rio de Janeiro cobra de todos os times mandantes que estejam vinculados à entidade. No caso da Copa do Brasil, esse valor corresponde a 5% de todos os ingressos vendidos pelo Flamengo.
Na página de receitas existe a linha “Ingressos Promocional”, que se refere às cortesias dadas pelo clube e isso não é levado em conta pela Taxa Ferj, mas entra no item abaixo por causa do pagamento de impostos.
2 – INSS 5% DECRETO: R$ 147.777,50
Um pouco diferente da Taxa Ferj porque ela leva em consideração os ingressos promocionais na conta do 5%, por isso o valor é um pouco maior.
8 – REEMBOLSO PASSAGEM ARBITRAGEM: R$ 12.074,64
Trecho praticamente autoexplicativo, mas que cabe um esclarecimento. Quanto mais perto for oriundo o trio de arbitragem do local do jogo, mais barato o reembolso da passagem aérea.
9 – DESPESA OPERACIONAL: R$ 20.000
Gasto definido pela Ferj e fixo para jogos no Maracanã. Segundo Frazão, existe uma ideia de mudar o nome disso no borderô, porque muita gente pergunta o significado do termo.
14 – CREDENCIAMENTO: R$ 3.525
Outro valor definido pela Ferj e que costuma ser o mesmo para grandes jogos, como foi o caso do clássico entre Fluminense e Vasco, no dia 26 de agosto.
17 – CONFECÇÃO VENDA E PRÉ-VENDA DE INGRESSOS: R$ 119.261,14
- Ela tem uma variação proporcional, basicamente, à renda. Essa linha não é o custo de confecção do ingresso físico. É basicamente quando você contrata uma empresa de venda de ingresso. Na negociação ela cobra diversos percentuais diferentes conforme o ingresso. Então, se ela vende para sócio-torcedor é um preço menor; se vende para o público geral, via internet, é um pouco maior; se vende o ingresso físico é ainda um pouco maior... e essas despesas incluem o sistema, todo o aparato de bilheteria para fazer a manutenção da operação do dia - contou Frazão
- Em nosso caso tem toda a equipe de bilheteiros que estão disponíveis para troca e venda no dia. Existem vários serviços que essa tiqueteira cobra por jogo. O valor varia conforme a renda. No Flamengo e Botafogo, que deu uma renda bruta de quase R$ 3 mi, esse valor chega a R$ 119 mil. Se pegar Flamengo e Vitória (na Ilha), que teve uma renda de R$ 1 mi, esse valor vai para R$ 50 mil. Não é exatamente proporcional, mas sim uma relação comercial.
- Das 20 linhas da coluna da esquerda, o que fica claro é que os gastos feitos pelo clube e não são pré-determinados, são os da linha 17. As outras linhas todas são necessárias. Para você colocar um jogo para funcionar vai ter sempre que arcar com essas despesas. Elas são todas relacionadas à administração do jogo.
![]() |
| Com ingressos mais caros e esgotados para final, expectativa é que confecção, venda e pré-venda também tenha um valor mais alto (Foto: Gilvan de Souza/Flamengo) |
21 – ALUGUEL DO ESTÁDIO: R$ 611.135
O acordo que o Flamengo tem com o Maracanã é de que esse valor seja 20% da renda bruta, sem contar os ingressos promocionais. O valor está R$ 21.594 acima do acordado, isso porque o clube teve que arcar com objetos danificados, como cadeiras e catracas que foram quebradas.
- Isso é quanto a gente paga à Odebrecht para jogar, sem nenhum serviço da concessionária na operação do jogo. E ainda tem o custo de consumo e de infra-estrutura - que são pagos à parte e retratados em outras partes do borderô.
22 – ALUGUEL DE GRADES VENDA E PRÉ-VENDA: R$ 38.006
- Isso é basicamente todo o valor gasto com grades para fazer aqueles currais que são feitos para ordenamento de fila e nos acessos. Quanto mais risco de segurança ao jogo, maior o gasto com grade. Isso porque alonga o perímetro de proteção, aumenta as filas e a ordenação de cada um dos acessos. Quanto mais setores você abre, mais gasta.
- Essa é a pergunta que todo mundo faz (se vale a pena comprar grade). Quando pagamos a empresa de gradeamento, estamos pagando transporte, todos os funcionários que montam as grades, manutenção, armazenamento... Existe, sim, uma análise de um projeto de investimento para que o Flamengo tenha isso comprado e administrado por uma equipe própria. Isso vai variar muito de como vai ser a nossa relação com o Maracanã. Não é tão previsível assim. Mas existe esse estudo para ver se o investimento vale à pena.
![]() |
Por ser um jogo de grande apelo e com rivalidade, muitas grades foram necessárias para a operação da partida (Foto: Fred Gomes) |
23 – CUSTO DE INFRA-ESTRUTURA DO ESTÁDIO: R$ 79.800
- É o que pagamos para uma equipe de engenharia ficar de plantão responsável não só pelo estádio, mas também por toda a preparação do estádio e seus sistemas eletrônicos. A gente paga o plantão de elevadores, dos telões, geradores que estão sendo colocados... Tem a equipe de Tecnologia da Informação, engenharia, elevadores, telões, temos também o seguro do estádio e algumas coisas de manutenção que nesse caso não foi necessário. Então, é tudo que gastamos que é relacionado à estrutura do estádio ou à equipe necessária para essa estrutura.
24 – CUSTO OPERACIONAL DO JOGO: R$ 366.573,48
- É uma série de outras despesas que são os prestadores de serviço necessários. O principal é a segurança. Depois tem limpeza e uma série de outras despesas: orientadores, equipe médica, ambulâncias, postos médicos, socorristas... mas as três principais são segurança, limpeza e serviços médicos. Se eu fechar um setor eu economizo com um monte de coisas. Vai depender muito da quantidade de público que você vai prever. Aqui temos algumas variações, mas isso é o custo. É o clube que paga, que escolhe os fornecedores e arca com esse valor.
O clube normalmente sofre com uma parte do custo operacional porque ele às vezes tem que ser usado para um público que não gera retorno financeiro, como é o caso das cadeiras cativas, gratuidades e os ingressos promocionais. Ou seja, são pessoas que não pagam ingressos, mas que geram um gasto de pessoal, já que o clube é responsável por equipe de segurança, limpeza e manutenção.
25 – CONTAS DE CONSUMO: R$ 150.000
- Pagamos o consumo que vai medir de água, luz, gás... Basicamente é luz. Você tem uma previsão feita em borderô e essa conta é apresentada dias depois. Às vezes é maior ou menor, mas não costuma fugir muito disso. Essa conta é exatamente o valor que pagamos nesse período que o estádio está conosco.
26 – QUADRO MÓVEL CR FLAMENGO: R$ 29.485
- É o que contratamos, como em um evento. É a equipe que vai estar desde as catracas até a supervisão de serviços, seja do Flamengo ou contratadas pelo Flamengo. São equipes de supervisores de várias atividades. Tem uma pessoa de gratuidade, uma de credenciamento interno, uma disponível pela comunicação... é uma equipe gigante. Esse valor varia também em relação à demanda e ao tamanho do jogo, mas não foge muito de R$ 30 mil. É uma prerrogativa do Flamengo colocar isso no borderô. Não necessariamente vai encontrar isso em outros borderôs.

/s.glbimg.com/es/ge/f/original/2017/08/24/fla_MyocieC.jpg)
/i.s3.glbimg.com/v1/AUTH_bc8228b6673f488aa253bbcb03c80ec5/internal_photos/bs/2017/z/c/p6a0pnQTSl5n8s8QpZ2w/dh9jhsaxgaagmvh.jpg)
Postar um comentário